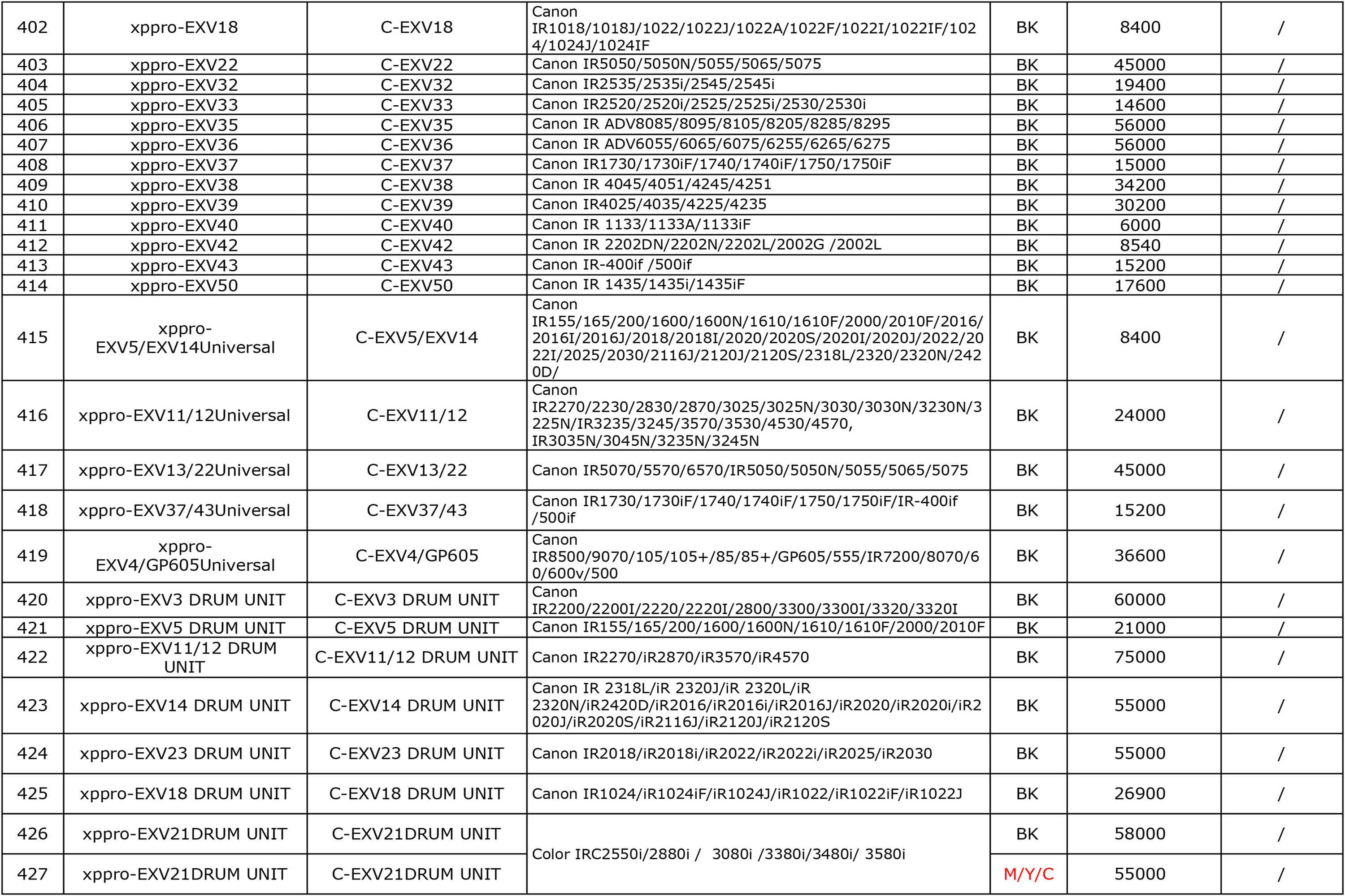
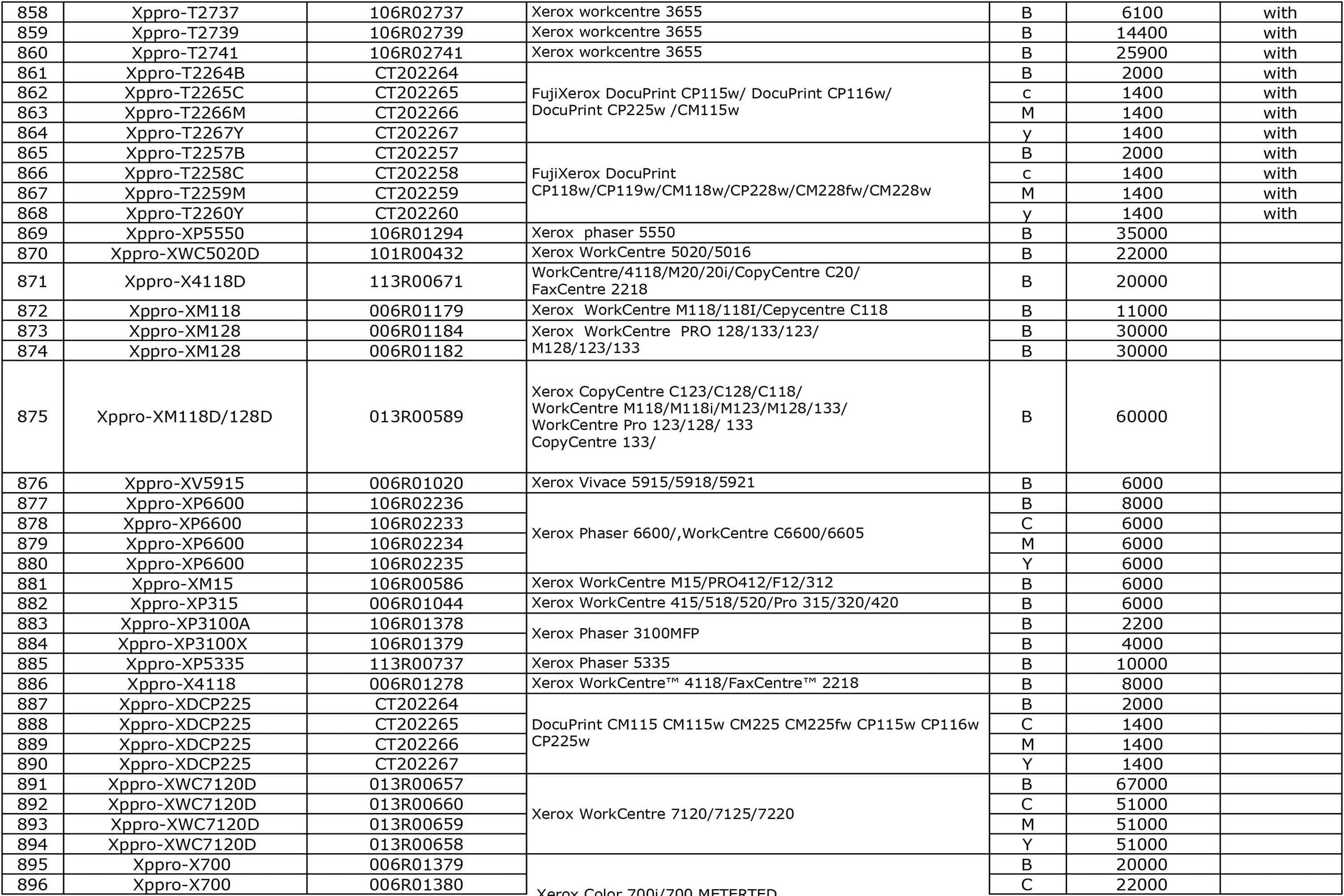
Các máy in luôn có các sản phẩm mực in đi kèm, mỗi mã sản phẩm máy in đều có mã sản phẩm mực in tương ứng. Các mã mực in dưới đây bao gồm các mã mực và mã máy in tương ứng như: mực in HP , mực in Canon, mực in Epson, mực in Brother, mực in Ricoh, mực in Panasonic, mực in Xerox, mực in Samsung ...































































Bạn muốn biết thêm thông tin chi tiết xin vui lòng liên hệ hotline 092.8822.118